INFORME PRODUCCIÓN DE MAÍZ DE PRIMERA – CAMPAÑA 2019/20
La Bolsa de Cereales de Entre Ríos da a conocer el informe correspondiente a la producción de maíz de primera en el ciclo 2019/20 en la provincia de Entre Ríos, Argentina.
La Bolsa de Cereales de Entre Ríos agradece a la red de colaboradores por toda la información brindada para la elaboración de esta publicación.
EVOLUCIÓN DE LA PRODUCCIÓN DE MAÍZ DE PRIMERA EN LA PROVINCIA DE ENTRE RÍOS
Las principales variables que resumen la producción de maíz de primera fueron:
– Superficie sembrada 382.800 hectáreas (ha)
– Superficie no cosechada 6.600 ha
– Superficie cosechada 376.200 ha
– Rendimiento promedio 6.796 kg/ha
– Producción 2.556.600 toneladas (t)
Por cuarto año consecutivo la provincia de Entre Ríos registró un incremento en la superficie sembrada con maíz de primera, con una expansión con respecto al ciclo 2018/19 del 18 % (59.700 ha).
Cabe aclarar que la variable superficie no cosechada tiene dos componentes:
– Las hectáreas que se destinaron al consumo animal directo con la elaboración de silo planta entera y grano húmedo que tuvo un área de 6.400 ha.
– La superficie perdida por granizo que abarcó 200 ha.
El rendimiento promedio provincial tuvo una caída interanual del – 15 % (1.211 kg/ha), no obstante, en relación al promedio del último lustro presentó un mínimo incremento del 1 % (76 kg/ha).
La superficie destinada a consumo animal (silo planta entera o grano húmedo) fue de 6.400 ha y solamente se perdieron 200 ha por un evento de granizo en la segunda quincena del mes de noviembre.
El maíz de primera abarcó el 94 % del área total. La producción de maíz de primera tuvo un incremento interanual del 8 % (196.000 t) y superó en 24.365 t a la producción total de maíz del año pasado.
En la Tabla 1 se detalla la evolución de la producción de maíz en la provincia de Entre Ríos.

PRODUCCIÓN DE MAÍZ PRIMERA EN LA PROVINCIA DE ENTRE RÍOS A NIVEL DEPARTAMENTAL
El departamento con mayor producción fue Gualeguaychú y abarcó el 16 % de las toneladas totales.
En segundo lugar de importancia se ubicaron: Gualeguay, Nogoyá, Paraná, Uruguay y Victoria con una participación que osciló entre el 10 al 12 %. Estos seis departamentos abarcaron el 71 % de la producción.
El rendimiento promedio departamental más bajo se obtuvo en Federación (5.000 kg/ha), mientras que Gualeguay tuvo el promedio más elevado con 7.700 kg/ha.
Los datos estadísticos sobre la superficie, rendimientos y producción de maíz de primera a nivel departamental se presentan en la Tabla 2.

PRECIPITACIONES EN EL TRIMESTRE NOVIEMBE – DICIEMBRE - ENERO
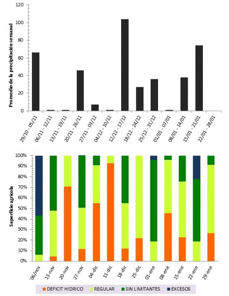
En la Figura 1 se muestra la distribución de la precipitación acumulada y el promedio de las reservas hídricas para los meses de noviembre, diciembre y enero correspondiente al ciclo 2019/20.
La precipitación promedio acumulada en el trimestre noviembre – enero en el ciclo 2019/20 fue de 411 mm, por lo tanto se registró un incremento del 17 % (61 mm), ya que el valor esperado se sitúa en 350 mm (registros históricos del SIBER).
En todos los meses se registró un aumento en los milímetros de precipitación:
– Noviembre 8 % (9 mm) versus valor esperado 110 mm
– Diciembre 19 % (27 mm) versus esperado 140 mm
– Enero fue 25 % (25 mm) versus esperado 100 mm
No obstante, en la segunda quincena de noviembre y en la primera de diciembre hubo sitios con déficit hídrico (situación de sequía o reservas escasas), que redujo el rendimiento potencial del maíz.


La dispar distribución temporal de las lluvias, a pesar de caracterizarse por mayores montos, generó escenarios con déficit hídrico.
En la Figura 2 se puede apreciar el promedio de la precipitación semanal y la situación de las reservas hídricas al día siguiente del periodo.
Cabe destacar lo acontecido en la primera quincena de diciembre, donde en los 13 primeros días el monto acumulado de las precipitaciones fue muy escaso y al 11/12 el 93 % del territorio estaba caracterizado por un escenario de déficit hídrico. Posteriormente en la semana del 12/12 al 17/12 la provincia recibió en promedio 104 mm de precipitación y al 18/12 el área con déficit hídrico se había reducido al 12 % de la superficie del territorio.